太阳能分布式系统规模较小,宜在中低温区间(300℃以下)应用,从而获得较高的集热效率。太阳能槽式直膨系统(即工质直接在集热管内相变成为气体)结构紧凑,在集热温度、设备投资等方面有优势,而低沸点有机工质作为动力循环工质会比水表现出更大的性能优势。应用有机工质+太阳能槽式直膨系统,在分布式供能层面具有应用潜力。
现今对槽式太阳能直膨系统进行的研究工质多为水,针对有机工质的研究尚未得到重视。天津大学中低温热能高效利用教育部重点实验室对非均匀热流下水平管内R245fa流动沸腾换热进行了实验研究,以下是常务副主任赵力教授和邓帅讲师指导下汪大海研究生的报告,以供参考:
一、 研究现状
图:非均匀热流边界及非均匀壁面温度场
(来源:1.何雅玲等,Solar Energy, 86 (2012) 1770–1784;2.刘启斌等,International Journal of Heat and Mass Transfer, 82 (2015) 236–249;3.李洪香,重庆大学, 2013; 4.何雅玲等,科学通报,61(2016)3208-3237;)
二、实验装置与方法
1、实验系统
2、实验测试段
3、数据处理
1)热流分布
2)局部换热系数
3)工质的干度
4)工质物性
工质在不同蒸发压力下的物性参数(饱和温度、汽化潜热和密度)来源为Ref Prop 8.0数据库。
三、实验结果与讨论
1、实验工况
在内径为29mm的紫铜管内进行R245fa沸腾换热实验,设定的实验工况为:质量流速80-160kg/m2•s,热流密度6-14kW/ m2,饱和温度55-75℃。
2、流型图
3、流动沸腾换热特性
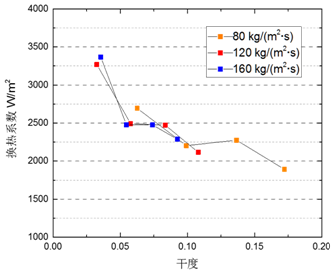
1)干度对换热系数的影响
Kattan[9]等提出分层流换热系数可以通过以下模型计算:
从中可以看出:分层流区域内,随着干度的增大,液体和管壁的接触面积减小,换热系数下降。
2)质量流速对换热系数的影响
在55℃,热流密度8kW/m²条件下,在较低干度时,较大的工质流速不利于流体及管壁表面的温升,从而不利于活化核心的生成,从某种程度上将抑制核沸腾;但流速的增加必然加速将管壁表面的气泡带到主流区,从而促进核沸腾传热过程。因而,工质质量流速对低干度区沸腾换热的影响结果受上述两方面的综合制约,而在非均匀热流下质量流速对沸腾换热几乎没有影响。
3)热流密度对换热系数的影响
对比发现:随着热流密度的增大,换热系数增大。
在较高的热流密度下,管壁表面过热度高,容易形成更多的活化核心,气泡生成的速度和数量、脱离壁面的速度和频率也随之增大,核态沸腾的效果显著的提高。
4)饱和温度对换热系数的影响
产生半径为R 的气泡所需的过热度:

饱和温度增加所需的过热度减少更容易产生气泡,此时汽化核心增强,换热系数增加。
四、结论
通过以上实验及分析,我们可以得出,在周向非均匀热流和低干度条件下:
1、在分层流区域,R245fa的换热系数随干度的增大而减小。
2、质量流速的变化对R245fa换热系数几乎没有影响。
3、R245fa换热系数随热流密度和饱和温度的增大而增大。
五、下一步工作的展望
1、通过实验和数值模拟,研究不同热流条件(强度、位置和不均匀程度)下流型分布和转变的规律。
2、研究管路压降与热流条件的关系,探索热流条件变化时有机工质两相流的流动不稳定性。
3、研究有机工质物性对流动换热过程的影响,提出有机工质的选用原则,优化流型分布以减小管壁温度场的非均匀程度。
4、非共沸有机工质在相变过程中表现出的温度滑移,有可能与轴向上升的管壁温度场形成更合理的温度匹配,进而改善壁面非均匀的温度场, 也是后面研究的重点。
附:参考文献
[1] Wang F, Shuai Y, Yuan Y, Liu B. Effects of material selection on the thermal stresses of tube receiver under concentrated solar irradiation [J]. Materials & Design.2012; 33:284-291.
[2] Mwesigye A, Bello-Ochende T, Meyer J P. Minimum entropy generation due to heat transfer and fluid friction in a parabolic trough receiver with non-uniform heat flux at different rim angles and concentration ratios [J]. Energy.2014; 73:606-617.
[3]何雅玲, 王坤, 杜保存, 邱羽, 郑章靖, 梁奇. 聚光型太阳能热发电系统非均匀辐射能流特性及解决方法的研究进展.科学通报. 2016;(30): 3208-3237.
[4] Ghomrassi A, Mhiri H, Bournot P. Numerical Study and Optimization of Parabolic Trough Solar Collector Receiver Tube[J]. Journal of Solar Energy Engineering. 2015; 137:1003-1010.
[5] 王学军, 严飞, 张银龙, 王堃. 槽式太阳能直接蒸汽发电技术研究现状[J].热能动力工程. 2016;3:9-15
[6] Forooghi P, Hooman K. Numerical study of turbulent convection in inclined pipes with significant buoyancy influence [J]. International Journal of Heat & Mass Transfer. 2013;61:310-322.
[7] 常春, 张强强, 李鑫. 周向非均匀热流边界条件下太阳能高温吸热管内湍流传热特性研究[J]. 中国电机工程学报. 2012;32:104-109.
[8] Alashkar A, Gadalla M. Thermo-economic analysis of an integrated solar power generation system using nanofluids[J].Applied Energy. 2017;191:469-491.
[9] 崔映红, 杨勇平. 蒸汽直接冷却槽式太阳集热器的传热流动性能研究. 太阳能学报. 2009; 30(3): 304-310.
[10] Wang Y, Xu J, Liu Q, Chen Y, Liu H. Performance analysis of a parabolic trough solar collector using Al2O3/synthetic oil nanofluid[J]. Applied Thermal Engineering. 2016;107:469-478.
[11] Gong X, Wang F, Wang H, Tan J, Lai Q, Han H. Heat transfer enhancement analysis of tube receiver for parabolic trough solar collector with pin fin arrays inserting[J]. Solar Energy. 2017;144:185-202.
[12] 张学学, 张超, 刘静. 周向不均匀热流边界条件下管内层流混合对流换热. 清华大学学报(自然科学版). 1997 ;(02): 75-78.
[13] Jamal-Abad M T, Saedodin S, Aminy M. Experimental investigation on a solar parabolic trough collector for absorber tube filled with porous media[J]. Renewable Energy. 2017;107:156-163.
[14]程泽东, 何雅玲, 肖杰, 陶于兵. 槽式太阳能集热器集热性能分析(B):吸收管内换热特性研究. 中国工程热物理学会2008年工程热力学与能源利用学术会议. 天津; 2008.
[15] Jaramillo O A, Borunda M, Velazquez-Lucho K M, Robles M. Parabolic trough solar collector for low enthalpy processes: An analysis of the efficiency enhancement by using twisted tape inserts [J]. Renewable Energy.2016; 93:125-141.