中控太阳能:塔式太阳能热发电站熔盐系统工况中仪表设计与选型要点

时间:2019-12-09 18:37来源:国家光热联盟
  编者按:当地时间2019年11月11日,希腊MINOS 50MW光热发电项目EPC合同签约仪式在希腊雅典举行。我国企业联合体将首次以“技术+装备+工程+资金+运营”的完整全生命周期模式走出国门。浙江中控太阳能技术有限公司依托我国太阳能热发电试验和示范项目建设取得的成功经验,将以通过验证的自主研发装备和技术,全力保障项目建设,力争将项目建成全球光热发电的标杆项目。国家太阳能光热产业技术创新战略联盟将以专栏的形式,陆续发表其太阳能热发电技术系列文章,以供业界参考。
  随着塔式太阳能热发电站在国内外的迅猛发展,熔盐作为塔式太阳能热发电站廉价、可靠、高效的储热介质得到广泛应用。但由于熔盐本身具有凝固点高、粘度随温度变化较大及高温腐蚀性强等特点,电站系统对其工况中使用的仪表设计、制造提出更高要求,如流量计、压力表、液位计等。因此需对熔盐系统工况进行详细的分析,为相关仪表选型提供参考。

工况分析

  熔盐系统是塔式太阳能热发电站系统运行中非常重要的环节。低温熔盐流体从冷盐储罐进入吸热器,通过吸热器吸热升温后流入热盐储罐,高温熔盐流体从热盐储罐通过换热系统换热后流入冷盐储罐。在这过程中,熔盐流体的温度从低温290℃升温至565℃后再降至290℃,温度波动范围较大,熔盐本身的物质特性以及运行中大的温度波动不可避免地带来仪表选型和结构设计上的困难,其内容包括以下几点:
  1、高温性质
  现阶段国内大多数仪表厂家所生产的高温型仪表耐温在300~400℃之间,但熔盐系统工艺中熔盐介质的最高温度可达到565℃以上,这对仪表结构、传感部件以及电子部件等的耐温能力提出更高的要求。
  2、低温凝结性质
  太阳能热发电系统使用的熔盐为太阳盐,其成分为硝酸钠和硝酸钾混合而成的二元盐。该种熔盐从207℃开始融化,加热至290℃即基本成为液态熔盐。在熔盐系统中,部分设备不适合进行完全保温或配置加热设备,此时如果选型设计不合理或控制不当,极有可能造成仪表以及附近管道发生熔盐凝结,使仪表传感装置与管道中介质接触位置因为介质凝固成固体熔盐而发生失效。
  3、腐蚀性质
  硝酸盐为中性盐,在常温下无任何腐蚀性,但在565℃高温下,硝酸盐会呈现强氧化性。针对该特性除了需考虑制造仪表材料的抗氧化性以外,也需要考虑配套仪表密封件的抗氧化性。
  4、盐雾性质
  高温环境中,熔盐会在容器中形成有微小气化熔盐液滴的盐雾。这种盐雾会附着在不与熔盐直接接触的储存容器内壁以及仪表上,经过长时间粘着结晶后会出现一层白色的盐粒结晶层。该结晶层会影响仪表精度甚至导致仪表无法工作。

流量计设计与选型要点

  流量计定义为指示被测流量和在选定时间间隔内流体总量的仪表。该仪表不仅是作为检测和控制整套系统运行状况和效率的依据,也是标定其他仪表和设备等的主要工具之一。因此,熔盐流量计在整套熔盐系统中较为重要。
  流量计依据测量原理可以分为力学原理、电学原理、声学原理、热学原理、其他原理(原子物理、示踪等)。下面主要对在熔盐中有测试和应用的流量计进行说明。
  1、力学原理流量计
  所有力学原理流量计共同点为均涉及到了流体介质压力、密度、粘度等物理性质方面计算,因此仪表精度会受到高温工况以及光热太阳能天气等不稳定因素的影响。
  以靶式流量计为例,其工作原理为流体冲击流量计靶板,带动靶杆使感应端接收到力作用,从而测得流量参数。其原理如式(1)所示:
  式中,Qv为实际流量值,α为流量系数,β为靶径与管径的直径比,ρ为介质密度,F为靶板受到的力。
  由式(1)可以看出影响仪表工作的主要是流量系数、直径比和介质密度。这三项数据中,直径比为恒定值,介质密度可查阅熔盐物性表得到。流量系数影响因素为直径比和雷诺数Re,具体关系如图1所示。
图1 α-β-Re关系图
  根据过去试验和工程项目数据,熔盐系统的雷诺数Re最小值出现在系统工艺最低温度290℃左右,由于熔盐粘度较低,计算Re值分布均大于105数量级以上,随着温度升高,Re数值会持续上升,直至565℃时Re值约在1.3×106左右。从图1可以看出,对于DN50口径的靶式流量计,当Re大于2000时,α值趋向于恒定值。因此,式(1)中的可变因素为熔盐介质密度ρ,该类型仪表通过温度校正可保证理论上能够使用。
  然而力学原理流量计受到熔盐凝结特性的致命性影响。例如差压流量计的取压部位、靶式流量计靶杆区域等,此类仪表传感测量部件和仪表与管道交接位置若发生外部环境异常(外部温度过低)、保温工作未做到位或者连续阴天长期停机情况,极可能发生局部熔盐凝固现象。下次系统运行时,该处流量计设备在充分预热完成或高温熔盐冲刷融化前失去工作能力,更严重情况可能使该处管道冻堵情况扩散,导致堵管。
  综上所述常规力学原理流量计对于熔盐系统适用度不高。
  2、超声波流量计
  超声波流量计利用声学原理来测定流过管道的流体的流速。它主要由超声波换能器、电子电路以及流量显示和计算系统组成。超声波换能器将电能转换为超声波能量,将其发射并穿过被测流体,接收器接收到超声波信号,经过电子电路放大并转换为代表流量的电信号,供设备仪表显示和其他流量数据计算。
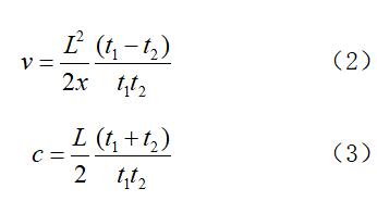
  超声波流量计计算原理上相对其他流量计仪表较为简单直观。其中管道直射式超声波流量计示意图如图2所示,其原理计算公式如式(2)和(3)所示:
图2 管道直射式超声波流量计示意图
  在式(2)和式(3)中,v为流体速度,c为工况条件下声速,L为测量探头间距,x为测量探头水平距离(管道流量方向),t1为超声波上游传输时间,t2为超声波下游传输时间。
  式(2)与式(3)分别为流体介质流量公式和当前工况下声速公式。从式(2)、式(3)可以看出,超声波流量计计算过程与熔盐性质基本无关。
  超声波流量计设备部件和结构选型仍需注意熔盐高温等问题。超声波流量计有外夹式和管道式,外夹式流量计探头直接安装夹持在管道外部,超声波在使用时先穿透管壁,经过流动介质后再次穿透管壁到达另一端探头。这过程中,声波在穿透管壁时,折射率由于介质高温以及环境温度的不稳定产生变化,导致声波传播折射角度发生偏移,测量信号可能产生断点。管道式超声波流量计探头等部分直接与熔盐接触,而传统的超声波探头和耦合材料耐温能力普遍在200~300℃之间,无法承受565℃高温熔盐,因此设备需考虑选用专门耐高温材料,例如高温陶瓷等。目前世界上有能力生产高温材料探头的供应商较少,国外熔盐流量计厂家主要有德国科隆、美国GE公司等,该公司生产的流量计已正式投入商业电站运行中,然而国内超声波流量计尚处于产品空白阶段。从技术角度比较,管道式比外夹式相对更可靠些。
  另外,熔盐高温状态下的腐蚀性也不容忽视。外夹式流量计不与熔盐直接接触,不存在流量计腐蚀问题,而管道式流量计存在法兰结构部位,法兰连接处的紧固件/垫片等极有可能因熔盐腐蚀产生泄露等问题。针对以上问题,管道式超声波流量计需选用可靠的密封方式和垫片,避免高温熔盐强氧化性腐蚀所导致的泄漏等问题。
  3、涡街流量计
  涡街流量计是利用非线性型阻流体插入测量管中,对流动液体进行扰流,从而形成有规律的涡流,再用检测原件对这些涡流进行检测并进行计算,从而得出流量值。以圆柱形涡流发生器为例,主要原理公式如式(4)和式(5)所示:
  公式(4)和公式(5)分别为涡流稳定条件公式和流速测量公式。式中,h为涡列宽度,L为同列相邻漩涡间距;f为漩涡发生频率,St为斯特劳哈尔数,V为流体流速,d为涡流发生体直径(圆柱体)。
  公式(4)取决于涡流发生器的形状,不同形状情况下公式(4)不同。公式(5)中f和d均为可控因素。斯特劳哈尔数St与雷诺数Re相关,即当Re小于2×104时,St为变数。当Re在2×104到7×106范围内,St基本不变。根据文中熔盐系统的雷诺数Re参考值可以确定,涡街流量计的St值基本不变。而在实际熔盐系统使用中,涡流发生器上虽然可能残留前次系统运行中未完全排尽的挂壁熔盐,但因为涡流发生器是开放形式存在,残留熔盐可以在熔盐流体中快速融化,使流量计在短时间内恢复正常。由此可判断出涡流发生器部分可以在熔盐系统中正常工作。
  流量计另一部分涡流检测元件处于涡流发生器下游,负责检测涡流发生的频率。现今涡流信号检测技术主要有:应力式、电容式、热敏式、超声式、振动式、光电式。其中应力电容式、振动式、光电式基本原理均是由涡流产生压力所引起的涡流信号变化,类似该种检测压力设备结构存在一定缺陷,抗凝结和耐温能力均有所不足。而热敏式虽然原理上不感应压力信号,但由于感应局部流量变化说明其感应元件仍需与介质直接接触,即可能产生凝固风险。超声式感应元件直接利用涡流对声波传导的干扰频率进行计算,选型和结构可参考上文外夹式超声波流量计探头,其外夹结构避免了熔盐凝结,而探头的耐高温问题已经得到解决。
  现阶段该种仪表大多用于实验装置当中,在商业电站熔盐系统中未大量使用。但根据一系列实验和论文说明该仪表测量精度在外夹式超声波流量计和管道式超声波流量计之间,仅次于管道式超声波流量计。
  综合研究结果表明,现阶段熔盐流量计的选型和结构设计形式如下:超声波流量计凭借其直观简单的测量计算原理以及较低的测量误差,性能优于其他原理的流量计;涡街流量计若采用耐高温超声探头,也可以作为检测熔盐流量的一种可靠手段。

压力表设计与选型要点

  压力表用于测量和指示工业系统环境压力的仪表,应用非常普遍。在太阳能光热电站熔盐系统中,压力表同样是不可或缺的重要测量设备之一,其主要功能为检测熔盐管路、部分熔盐储罐压力。与流量计相同,熔盐的高温和凝固特性导致常规性仪表不能够满足熔盐工况对仪表的特殊需求。熔盐压力表选型和结构设计也需特殊考虑。
  隔膜式压力表通过压力表隔膜将工作介质和导压介质隔离,其原理上较适用于工况较为苛刻的腐蚀性介质中,该类压力表可以考虑用于高温熔盐系统中,隔膜材料可选用钽等耐高温耐腐蚀金属材料。中间导压介质通常使用硅油,但高温工况下即便是专门耐热的高温硅油也难以承受565℃的高温(国内高温硅油最高耐受温度在350℃左右,国外高温硅油最高耐受温度在400℃左右)。从这点可以看出,隔膜式压力表导压介质的耐温能力是该种仪表能否使用的最为关键因素。
  1、钠钾合金介质
  钠钾合金是钠(Na)和钾(K)的合金,其常温状态下为液体,不同配比情况下其熔点和沸点均不相同。熔点最低的钠钾合金钾含量为78%,钠含量为22%,该钠钾合金熔点为-12.6℃,沸点为785℃,过去其主要作用是冷却剂、催化剂和干燥剂。
  钠钾合金-12.6~785℃的液态温度范围作为熔盐工况下新型隔膜式压力表的导压介质是非常合适的,其温度区间完全囊括了熔盐工艺温度范围。-12.6℃的熔点温度不仅适用于正常厂房的环境温度,即便是在环境温度极低(最低温度可达到-30℃以下)的高海拔区域,也可以通过安装在管路和设备上的电加热设备进行加热升温,短时间内融化并达到正常工作状态。
  一般来说,隔膜式压力表是以法兰形式安装于管道上的,这种凹陷结构不但可能成为熔盐系统泄漏隐患,还有可能使膈膜和介质接触的地方发生熔盐挂壁堵塞,导致仪表失效。为了避免发生这种情况,需对压力表专门设计带可插入扩散膜片的法兰式膈膜密封方式。具体构造如图1所示,其中,1—压力表本体,2—散热结构,3—法兰结构,4—管道,5—扩散膜片结构膜盒,6—NaK合金介质。
图1 可插入扩散膜片的法兰式NaK隔膜式压力表
  这种开放式突出的膜片可以保证即便是有熔盐能凝结在膜片上,也能及时在熔盐冲刷下短时间内融化附着在表面的熔盐。
  然而,钠钾合金还有很强的还原性,介质一旦遇到空气和水会迅速发生燃烧甚至爆炸。在工业系统中,任何存在安全隐患的设备都需要进行严格的安全认证和日常检查的。钠钾合金本身就存在燃烧甚至爆炸的可能,一旦仪表内部发生泄漏就会发生严重事故,何况熔盐高温下本身就有强氧化性。
  2、低温熔盐
  低温熔盐介质作为导压介质的方案也理论上存在于高温压力表的研究中。其低熔点和高沸点特性的优越性仅次于NaK合金介质,并且暴露于外界不会发生化学反应,安全性远高于NaK合金介质。现今业界当中,北京工业大学所研发的低熔点混合熔盐介质熔点为83.7℃,沸点可达到592.9℃。
  低温熔盐导压介质压力表与钠钾合金介质隔膜式压力表总体上结构设计基本相同,从功能上来说可以做到正常运行,但在实际工况中使用还是稍显不足。熔盐由于膨胀量较大,当系统长期停运时,膜盒中填充的低温熔盐介质会自然冻结,膜盒填充液密封区域耐膨胀能力不足,膨胀的熔盐极可能毁坏膜盒。另外,系统系统启动时将对膜盒内凝固的熔盐进行融化,熔点83.7℃的熔盐也需要长时间熔化过程。由于熔盐介质的特殊性,现该种压力表实验项目中使用较少,产品尚欠成熟开发。
  3、结构改造
  改造结构通过仪表结构上进行优化,保证仪表正常工作。该结构采用延长管降温的办法,熔盐介质从流动管道中进入延长管并通过延长管散热,在到达仪表膈膜前使熔盐温度降到压力表高温硅油安全工作温度以下。然而,压力表仅考虑延长管降温是不够的,复杂的工况和外部环境很可能导致降温过快,温度低的熔盐易凝固在延长管中。针对可能的熔盐凝固问题,对延长装置配置了保温层、热电偶以及电伴热设备,实现对压力表温度进行准确控制,保证压力表法兰膈膜处介质温度控制在导压介质高温硅油耐受温度范围内,且不产生熔盐凝固问题。设备结构如图2所示,其中,1—压力表本体,2—散热结构,3—法兰结构,4—保温层,5—保温套管(电伴热),6—延长管,7—管道:
图2 带延长管结构的隔膜式压力表
  改造仪表通过延长管进行介质降温,通过加热装置以及控温装置进行严格温度控制,原理简单、易于操作且成本相对较低。现今这种配置延长结构压力表已运用到多数实际光热电站项目当中。
  综合研究结果表明,现阶段熔盐压力表最为成熟的选型和结构设计形式如下:可以采用配置延长结构和温控功能的压力表,既保证使用中压力表导压介质不会超温挥发,也确保与膈膜接触处的熔盐不会低温冻结。NaK介质或其他导压介质压力表虽然原理上可行,但实际可靠性尚待验证。

液位计设计与选型要点

  熔盐系统液位计作为整个系统熔盐量的测量设备,对系统可靠运行等具有重要的作用。太阳能光热电站中熔盐液位计的作用主要就是测量各类设备中熔盐的液位值,例如熔盐储罐。以下介绍几种实验和项目中使用到的熔盐液位计。
  1、磁翻板液位计
  磁翻板液位计又称为磁浮子式液位计,原理是仪表浮子或浮筒随液位升降而上下浮动,磁翻板液位计通常可以就地显示或将液位信息转换电子信号传输。磁翻板液位计本身也类型众多,但熔盐性质决定了液位计本体不适合与熔盐进行直接接触。因此例如像侧装式磁翻板液位计这一类需要引导介质进入和接触液位计本体的液位计无法在熔盐系统中使用。熔盐液位计需采用浮子受力直接作用于容器本体,带动简单机械传递结构从而进行指示。
  (1)钢带式磁翻板液位计(内浮标)
  钢带式磁翻板液位计采用两个定滑轮、钢带以及浮球组成滑轮系统,浮球随液位变化带动另一段磁性指针来指示液位。该种液位计除了浮球以外均不予熔盐接触,但由于其传递钢带本身为金属结构,高温状况下可能会产生热膨胀拉伸,若储罐容器高度过高,可能会产生较大的精度误差。
  需要注意的是,浮球原理性设计需以水为标准进行设计,否则液位计运行前无法调试。总体来说,钢带式液位计在熔盐系统中适用性较高。
  (2)顶装式磁翻板液位计
  顶装式磁翻板液位计原理与钢带式液位计类似,顶装式液位计安装于设备顶部,并采用支撑管来传递液位信息。然而,由于采用金属支撑管,温度的变化同样会引起金属的线性膨胀,从而带来一定的测量误差。
  另外,顶装式液位计在实际项目应用中,还存在着以下问题。首先,磁翻板为顶装式结构,意味着液位计安装完后其顶部高度将为设备高度的两倍,而在太阳能光热电站中储罐高度普遍在10m以上,高度的增加无疑增加厂房等的投入成本。因此,顶装式磁翻板多使用于小型设备上。另外,熔盐本身会产生盐雾,液位计支撑管表面长时间处于盐雾环境下容易形成盐粒结晶层,盐粒结晶使得支撑管移动时容易被结晶层卡住,导致液位计无法正常工作。顶装式液位计在使用时应定期对液位计进行结晶层清洁,如考虑配置电伴热或加入自清洁系统。尽管顶装式磁翻板液位计能够在熔盐系统中使用,但使用条件要比钢带式磁翻板液位计苛刻。
  2、雷达液位计
  雷达液位计采用电磁波原理进行液位测量,一般安装于设备顶部。工作时,雷达液位计向被测液面发射微波,再接收液面反射的回波并通过比较得出该波束经过时间,计算出测量空高和实际液位,其计算原理见公式(1)。
  式(1)中,L为当前实际液位,H为储罐容器高度,V为光速(影响光速的介电常数受温度影响极小,可视为常数),t为仪表发射和接收到微波的间隔时间。
  雷达液位计实际使用中,采用顶装式安装,避免了仪表和介质的直接接触。尽管雷达液位计不直接接触熔盐,但是依然存在着高温问题,液位计发射振子、电子电路等设备建议采用耐高温材料。若存在部件耐温能力有限,设计时应考虑重新进行外部环境改造或者安装结构优化设计。传统解决方案主要是配置空压系统进行氮风吹扫进行降温。
  另外是盐雾凝结问题。类似顶装式磁翻板液位计,大量的盐雾凝结会在雷达液位计处于储罐内部的部分设备形成盐粒结晶层,盐粒结晶层会降低雷达液位计精度甚至导致仪表彻底失效,尤其对于雷达液位计发射口,液位计发射口外型为喇叭形状,难以配置自清洁系统。对于盐雾凝结问题,通常的做法是采用定期清洁,以保证发射口处的表面清洁。
  实际安装使用过程中,雷达液位计对系统也提出了较高的要求。熔盐系统中不可避免的在设备内部使用到热电偶、插入式电加热器、其他形式液位计等,这些内部结构易成为雷达微波信号传导过程中的阻碍。因此,除了雷达液位计的安装使用过程,对雷达液位计以及系统结构设计等都提出更高的要求以外,选择发射角角度较小和配置导波管的雷达液位计也可以避免干扰问题。
  目前,国外雷达液位计产品使用较多,主要有德国科隆、西门子等厂家,特点是耐温能力可靠且出射角度小。
  3、激光液位计
  激光液位计工作原理与雷达液位计基本相同,其半导体激光发射器发出连续的高速脉冲光束,在被测液面反射接收后得出时间差,从而计算出液位高度。
  激光的高速脉冲光束与常规雷达液位计的微波有本质性的区别,这也使激光液位计更适用于熔盐系统。激光本身不仅继承了微波不受气体密度、温度影响的优点以外,其穿透能力极强,可以在高温视窗隔离的情况下进行液位测量。高温视窗的存在解决了雷达液位计受盐雾干扰的问题,并且大大降低了维护检修的工作量和维护的危险性。另外,激光束有不发散的物理特性,测量过程中发射波角度近于0°,可将测量过程干扰降低到最大程度。

  综合研究结果表明,现阶段液位最为成熟的选型和结构设计形式如下:主流测量方式为雷达液位计,其非接触式的特点适用于熔盐工况。激光液位计原理上与雷达液位计较为相似,但缺少实验和工程应用验证。(全文完)

热点排行榜

推荐图文